
评释:本文系统梳理了电催化界面双电层的电化学、原位光谱与扫描探针三大表征体系,涵盖零电荷点、电容、场强、物种浓度、动态结构等重要参数,读者可一站式掌合手怎样从宏不雅信号直达分子级动态细节,飞快定位最相宜自肉体系的表征组合,显贵进步电催化机理与性能优化的扣问恶果。
什么是界面双电层(EDL)
在电催化限制,电双层(EDL)是电催化反应的中枢区域。催化剂名义原子、反应物、中间体、家具、溶剂分子和离子等组分共同组成了复杂的动态反应汇集,这种荒谬的组成和结构赋予界面双电层以荒谬的性质,长远地影响了电催化反应的旅途与欺压。

图1. (c)由AIMD模拟的电化学界面。DOI:10.1038/s41586-021-04068-z
以下将从电化学来禀报电催化界面双电层的表征步履。
电化学测量步履
电化学测量步履是一类运用电信号分析电化学反应体系特色的时期体系,可在特定要求下通过电信号反馈获取体系特征信息。通过电化学测量步履,可奏凯获取界面双电层的电学信息(包括充电电流、法拉第电流、双电层电容、零电荷点(PZC)、电场强度、电极电荷密度(足够电荷密度)等),还可转折细目层内反应物种的浓度。
电毛细管法
其旨趣是运用毛细管内界面张力的对消振作,来测定外加电压下界面张力的变化,从而得到所谓的电毛细弧线。当该电化学体系可用GC(Gouy-Chapman)模子描画时,电毛细弧线相称所对应的责任电极电位即为零电荷电位φpzc。
借助李普曼方程对电毛细弧线进行分析,可求出(足够)电极电荷密度qM;再将其对电压求导,即可得到双电层的微分电容C。
(dγ/∂V)const.comp.= −qM
(∂qM/∂V)const.comp.=C
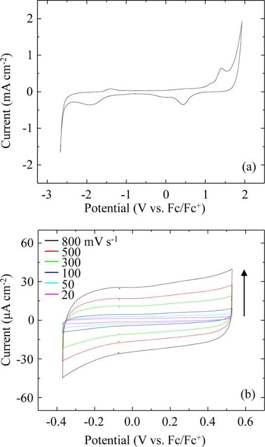
伏安法
伏安法省略浅薄地调控电极电位及电极–电解液界面状况,是测量与表征双电层的基础时期。在双电层扣问中,最常用的三种伏安时期包括轮回伏安法(CV)、调换伏安法(ACV)和电化学阻抗谱(EIS)。
这三种步履均可用于获取双电层电容信息,但由于测试要求与数据拟合政策的不同,它们在所得EDL电容的精度与好意思满性上存在各别。
在轮回伏安法中,责任电极的电势φt(t为时刻,又称直流电势φdc)随时刻呈线性变化。通过画图电流密度与直流电势或时刻的关系弧线,可得到轮回伏安(CV)弧线。
获取双电层电容的步履是在仅存在违警拉第充电电流的电势鸿沟内进行扫描,特定电势下电流密度的对数与扫描速度vscan的对数呈线性关系,该直线的斜率即为双电层电容。

图2.(a)在PAN电解液中,BDD电极在不同扫描速度(800、500、300、100、50和20mV s⁻¹)下的代表性轮回伏安图;玄色箭头指点扫描速度加多的见识。 (b)BDD电极在PAN中于−0.3V(联系于Fc/Fc⁺)处电流对数与扫描速度对数的代表性关系图,并给出相应的线性拟合。DOI: 10.1021/acs.jpcc.8b00272
调换伏安法(ACV)运用调换信号远离界面双电层结构(违警拉第组分)与界面电化学反应(法拉第组分),可选拔性测量充电电流或法拉第电流,进而细目双电层电容、电极名义活性物种浓度等物理量。
在ACV中,责任电极的φt满足公式,即由直流电势与振幅为ΔE、频率为ωac的调换电势重复而成。表面上,不同经由或反应法子的电压–电流–时刻关系存在各别。
傅里叶变换(FT)时期及傅里叶变换调换伏安法(FT-ACV)的发展,可直不雅呈现电化学反应体系中法拉第组分与违警拉第组分对不同频率调换信号的响应,从而杀青法拉第经由与违警拉第经由的分离。
φt=φdc+ Δφsin(ωact)

图3.在100 mV s⁻¹的扫描速度下,于多晶金电极上赢得的直流轮回伏安图:(a)展示了Bmim BF₄可用的电化学电位窗口。(b)给出了用于通过FT-ACV测定双电层电容的电位窗口。图中箭头指点双电层充电电流随扫描速度的加多而增大。DOI: 10.1021/acs.jpcc.7b00287
电化学阻抗谱(EIS)测试属于准稳态经由,在固定电极电势的同期编削调换频率,省略获取更全面的信息,从而更准确地测定双电层电容。通过EIS步履赢得微分电容C后,辘集零电荷点(φpzc),进行逆运算(积分与二次积分),可得到qM–V弧线和电毛细弧线,进而细目电极(足够)电荷密度qM等双电层重要性质。
如图4所示,扣问东谈主员以铂(111)|H2SO4水溶液界面为模子体系,扣问了EIS中电极电势、频率弥漫与EDL电容的关系。欺压标明,铂(111)名义由硫酸根、硫酸氢根和水分子组成的吸附层发生的二维相变(有序–无序相变)对EDL电容具有显贵影响,同期还禀报了氧规复反应(ORR)经由中阳离子K+对吸附层电容的作用。
此外,EIS可将特定吸附、法拉第反应、扩散及违警拉第经由表征为不同的电路元件,滚球(中国)官网app通过等效电路拟合分析,省略禀报各经由在电催化机理中的孝敬。

图4.在不同给定电极电位下,实际EIS数据的奈奎斯特图(空腹象征)偏激拟合欺压(实线)示例。左侧图与右侧图展示磨灭组数据:左侧遴选等间距程序表现虚部,右侧则将横坐标进行放大露馅。DOI: 10.1016/j.susc.2014.04.014
尽管电化学表征步履在电催化扣问中占据主导地位,但其主要颓势在于:大王人测量仅能提供宏不雅电信号,难以获取界面处溶剂分子取向、局部浓度等奏凯微不雅字据。
原位光谱表征步履
原位光谱表征步履主要为EDL扣问提供三类信息:
第一,界面分子的化学信息—通过定性识别不同电压、反应环境下中间体/特定吸附物种/溶剂的种类与存在边幅,定量测定指标物种(尤其是特定吸附质)的界面浓度。这类信息无法通过电化学测量时期奏凯获取,是光谱时期的特有上风;
第二,微不雅空间程序下的EDL性质信息,包括零电荷点(PZC)、距离电极特定位置处的电场强度与电势;
第三,时刻维度的变化信息—可及时监测反应经由,将EDL的动态变化与电催化反应致密无比关联。
原位红外光谱
包括红外反射招揽光谱(IRRAS)、衰减全反射红外光谱(ATR-IR)、名义增强红外招揽光谱(SEIRAS)等。凭借界面物种的特征红外振动信号,原位红外光谱已被平凡用于定性识别不同电压、反应环境下EDL中指标物种的种类、构型及动态变化,同期在扣问多组分间的相互作用方面也发达小心要作用。
如图5所示,扣问东谈主员遴选原位ATR-SEIRAS时期,对铜(Cu)电极| 0.1 mol/LKHCO3界面的二氧化碳规复反应经由进行表征。
欺压标明,在-0.6V至-1.2V的电势鸿沟内,可奏凯不雅测到CO及1720cm⁻¹隔邻的吸附态醛类(*CHO)等重要中间体。此外,还不雅察到Cu名义COO−物种的特征振动(COO−的两个O原子均吸附在Cu上)。

图5. (a)在CO₂饱和的0.1M KHCO₃溶液中,对铜薄膜电极进行阴极扫描经由中及时蚁集的ATR-SEIRAS光谱。(b)相应的轮回伏安图以及积分谱带强度变化。DOI:10.1021/jacs.7b10462
原位拉曼光谱
常用于禀报EDL中指标分子的种类、结构、取向,以及扣问指标物种随名义电势、电荷状况/时刻的动态变化。此外,SERS具有较宽的波数鸿沟(约10-4000cm⁻¹),在表征催化剂名义隔邻的M-X键(M为金属,X为其他原子/基团)方面具有特有上风,因此常被用于扣问反应经由中催化剂名义的成键情况。
如图6所示,扣问东谈主员将原位SHINERS时期与重新算分子能源学(AIMD)相辘集,扣问了钯(Pd)单晶电极在析氢反应(HER)经由中界面水分子的动态结构搬动。对Pd (111)|0.1mol/L高氯酸钠(NaClO4,pH=11)界面的原位SHINERS测试为Na+增强HER活性提供了进一步字据。

图6. (a)在0.1M NaClO₄溶液(pH11)中,Pd(111)电极界面水的原位拉曼光谱。对三种O–H伸缩振动格式进行高斯拟合,分别用蓝色、橙色和红色表现。DOI:10.1038/s41586-021-04068-z
扫描探针显微镜(SPM)
扫描探针显微镜(SPM)是一类运用探针与样品名义的相互作用,检测样品或体系特定区域性质的时期,可在纳米程序对样品名义的物理化学性质进行成像与分析。
电化学扫描纯正显微镜(EC-STM)
常用于原位表征电催化反应经由中电极侧名义的形貌变化,将其与电化学测试、光谱时期辘集,可奏凯不雅测内亥姆霍兹平面(IHP)中吸附物种的吸附举止,明确电极形貌与吸附物种滚动之间的关联。
如图7所示,扣问东谈主员用EC-STM/SERS扣问Cu(100)在HNO₃/HF溶液中的硝酸盐规复:无HNO₃时为(1×1)名义;加入HNO₃后造成(2×2)-NO₃⁻吸附层;在0.29V(vsAg/AgCl)时,出现由NO₃⁻与H₃O⁺组成的新c(2×2)层,13s内取代原层;反应后期生成与NO₂⁻联系的c(2×2)吸附层。

图7. 在0.1M HF溶液中赢得的原位EC-STM图像(Cu(100)名义)。(a, b)为不含NO₃⁻的溶液。(c, d)为含1mM HNO₃的溶液。(a, c)为大程序图像:200nm×200nm(a)和50nm×50nm(c)。(b, d)为小程序图像:5nm×5nm(b)和16nm×16nm(d)。DOI: 10.1021/ja071330n
扫描电化学显微镜
SECM所用探针为界评释确的超微电极(至少一个维度的尺寸就是或小于25μm),目的是在提高空间分辨率的同期,减少对测量体系的滋扰。
如图8所示,电势可控的SECM探针在电催化反应经由中围聚基底电极(产生基底电流iS),探针周围局部环境中的反应物、中间体或家具会向探针扩散并发生氧化或规复反应,产生法拉第电流iT信号。iT可准确反馈活性物种的浓度,而iT/iS的比值还可反馈EDL中物资的分散情况,为反应细节扣问提供依据。

图8. 扫描电化学显微镜(SECM)仪器表现图滚球app(中国)官网下载。DOI: 10.1021/acs.chemrev.6b00067
6686体育官方网站入口